文章:联轴器找正

所有者:信仰(呢称); 发布时间:2018-04-24 06:31:33; 更新时间:2019-04-26 03:14:07

阅读所需积分:0; 

简介:联轴器找正

联轴器找正,是转动设备检修工作的一项重要内容,若找正的方法不对或找正找的结果不精确,会引起转动设备的振动值超标,严重威胁着转动设备的正常运行,尤其是高转速设备,对联轴器找正的数据要求极为严格。


今天小编就为大家分享几个找正方法。


联轴器找正又叫找同心。泵、电机都安装完之后,最后一项工作就是泵与电机找同心,也就是使泵与原动机的轴心在同一直线上,使之在运转中不致使振动。新安装的泵进行找正时,联轴器的径向和轴向误差可能出现以下四种情况:



方法一


一般的泵(水泵、小油泵)可以用平尺或塞尺进行粗测,但是对大多数设备都需要精测,用百分表进行测量。一般机泵的水平度已找好,以机泵的对轮为基准,测定与调整电机对轮,来保证电机与机泵两轴对中。



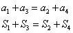
注:a1、a2、a3、a4表示径向间隙,S1、S2、S3、S4表示轴向间隙测量时先测出百分表在0º时的径向间隙a1和轴向间隙S1,然后分别测出90º、180º、270º的径向与轴向间隙,并分别记录于上图所示的圆内与圆外。测量回到0º时,必须与原始读数一致,否则要查找原因,一般由轴窜动或地脚螺栓松动所致。最后测量数据还须符合以下条件,才表示计算正确。



方法二


把百分表架到泵端,将百分表对零,将对轮旋转一圈,每90度得到一个数值,最后百分表转回其始位时必须回零,左右读数相加应该等于上下数值相加之和。然后根据读数分析出两轴的相对空间位置状况,根据偏差值作出适当调整。首先调整联轴器的左右偏差到允许值,然后调整高低至标准之内。


找正公式:


  • S1= ±(对轮轴向差值(张口绝对值)×支脚1到测点距离)÷测点直径±圆周径向插(差)值/2;


  • S2= ±(对轮轴向差值×支脚2到测点距离)÷测点直径±圆周径向插(差)值/2。


第一个±:如果对轮是上张口,取“+”号;如果是下张口,则取“-”号可理解为从上往下盘;


第二个±:电机低时取“+”;电机高时取“-” 可理解为从上往下盘 表是正写正 是负写负。


S1是正的话(上张口且电机偏低),说明应该垫垫片,S1数即是要垫的垫片厚度。


另:测点直径为测表点旋转直径,而不是联轴器直径。调整左右与之类似。


方法三


加减垫子计算方法:


其中:

  • a表示轴向表读数

  • D表示靠背轮直径

  • L1表示靠背轮到电机前脚距离

  • L2表示电机前脚到后脚的距离

  • S表示径向表的读数


这得出的结果就是你电机要加在前脚和后脚的垫子数量。



双表找正,好是好,但轴向的位移有时不好掌握。新手靠运气也许半天搞不定,老师傅凭经验十几分钟搞定!


最好是在180°的地方再加一块轴向的表。所谓三表找正!