文章:伺服电机机电时间常数测试

所有者:信仰(呢称); 发布时间:2018-06-08 00:51:40; 更新时间:2019-04-26 03:19:55

阅读所需积分:0; 

简介:伺服电机机电时间常数测试

伺服电机的机电时间常数包含电气时间常数和机械时间常数。在测试中要将电气时间常数和机械时间常数两者区分开来比较困难,加之电气时间常数通常情况下比机械时间常数小得多,在工程应用及测试中一般不去将它们分开。

  伺服电机机电时间常数测试原理主要源于机电时间常数的定义及电机动态理论,国标中推荐了起动电流法、控制电流法、测速机法和对拖法几种测试方法,下面本文就对几种测试方法的原理及操作进行介绍。


一、伺服电机时间常数定义

  GB/T 2900控制电机术语中对机电时间常数、机械时间常数、电气时间常数定义如下:


01 机电时间常数Tme


机电时间常数是伺服电机在空载和额定励磁条件下,加以阶跃的额定控制电压,转速从零上升到空载转速的63.2%所需时间。


02 机械时间常数Tm


对于直流伺服电动机和交流伺服电动机的具体计算方法,可用电机端电阻R,转动惯量Jm,反电势系数Ke,转矩常数KT等参数表示:

03 电气时间常数Te


  可用电机端电阻R和电感L表示:

二、伺服电机机电时间常数测试
01 起动电流法


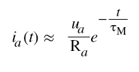
  根据直流电机动态理论,可得下式:

  式中:

  ua——电枢电压,单位为伏特V;

  Ia——电枢电流,单位为安培A;

  Ra——电枢电阻,单位为欧姆Ω;

  tM——机电时间常数,单位为s。

  电机空载起动时电流从最大值衰减到63.2%所用时间就是机电时间常数tM。测试时,将电机定子固定,电机轴上不加任何负载,对带励磁的电机激励绕组施加额定励磁,电枢绕组加额定阶跃电压,用波形采集设备记录电机加阶跃电压过程中起动电流的完整波形,然后通过波形数据处理获取电机的时间常数。


02 控制电流法


  同起动电流法类似,可得出

  式中:

  ua——点数电压,单位为伏特V;

  Ia——电枢电流,单位为安培A;

  Ra——电枢电阻,单位为欧姆Ω;

  tM——机电时间常数,单位为秒s;

  电机空载制动时电流从最大值衰减到63.2%所用时间就是机电时间常数tM。测试时,将电机定子固定,电机轴上不加任何负载。对带励磁的电机激励绕组施加额定励磁,电枢绕组加额定电压,待电机转速稳定后,断开电枢绕组电压,立即将电枢绕组断路。用波形采集设备记录电机电枢绕组断路至电机停转过程中控制电流的完整波形,然后通过波形数据处理获取电机的时间常数。


03 测速机法


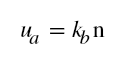
  测速发电机空载时的输出电压与转速的关系式如下:

  式中:

  ua——发电机输出电压,单位为伏特V;

  Kb——电机常数,单位为伏特秒每弧度V.s/rad;

图1:测速机法接线图

  测试时,用一台低惯量测速发电机和待测电动机同轴刚性连接并固定,按上图1所示接线。给电动机施加额定阶跃电压UN,电动机带动测速发电机一起旋转,直到转速稳定。在波形采集设备记录测速发电机的电压波形,从波形图上求出电压从零上升至稳态值的63.2%所用时间,此即为机电时间常数。

  N——发电机转速,单位转每分钟r/min。

  将测速发电机与待测电动机同轴连接,电动机加阶跃电压起动时,带动测速发电机旋转而产生输出电压,从上式中可知,测速发电机输出电压与电动机转速成正比,只要测出测速发电机输出电压上升波形就可以求出电动机的机电时间常数。


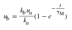
04 对拖法


  式中:

  ub——发电机电枢电压,单位为伏特V;

  kb——电机常数,单位为伏特秒每弧度V.s/rad;

  ua——电动机电枢电压,单位为伏特V;

  ka——电动机常数,单位为伏特电机常数,单位为伏特秒每弧度V.s/rad;

  tM——联合机电时间常数,单位为秒s。

  发电机电枢电压ub的上升曲线与机组旋转角速度呈线性关系,从ub曲线中求得电压从零上升至稳态值的63.2%所用的时间,此时间就是联合时间常数tM。

图2:对托法接线图

  将被测电机与另一台机电时间常数已知的电机同轴刚性连接,一台作为电动机工作另外一台作为测速发电机工作,按照上图2所示接线。给电动机施加额定阶跃电压UN,并测量测速发电机输出电压波形,时间常数的求取方法与测速机法相同,只不过所得时间常数为联合机电时间常数。对于型号规格完全相同的两台电机,把波形图上求出的机电时间常数除以2,就是所求电机的机电时间常数。若两台电机型号规格不同,则应预先知道当做测速发电机的机电时间常数,然后将波形图上求出的机电时间常数tM减去测速发电机机电时间常数后就是所求电机的机电时间常数。